Open Access
Figure 5
Download original image
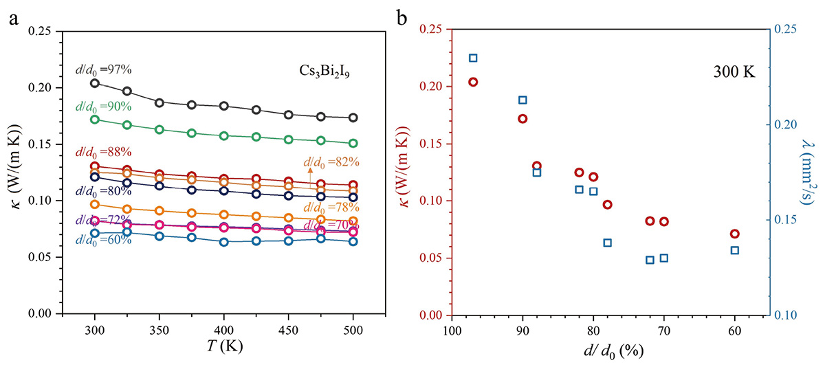
(a) Temperature-dependent thermal conductivity curves of Cs3Bi2I9 polycrystalline for different relative densities. (b) Relative density-dependent thermal diffusivity and thermal conductivity of Cs3Bi2I9 at 300 K.
Current usage metrics show cumulative count of Article Views (full-text article views including HTML views, PDF and ePub downloads, according to the available data) and Abstracts Views on Vision4Press platform.
Data correspond to usage on the plateform after 2015. The current usage metrics is available 48-96 hours after online publication and is updated daily on week days.
Initial download of the metrics may take a while.
